ER-Diagramm, Attribute, Beziehungen, Kardinalitäten, relerenzielle Integrität, Aktualisierungsweitergabe. Löschweitergabe, Primärschlüssel, Fremdschlüssel
ER-Diagramm, Attribute, Beziehungen, Kardinalitäten, relerenzielle Integrität, Aktualisierungsweitergabe. Löschweitergabe, Primärschlüssel, Fremdschlüssel
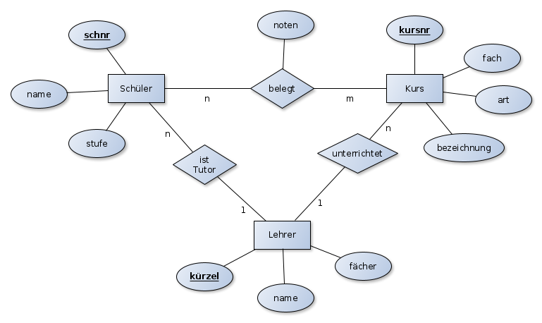
ER-Diagramme und Datenbankdesign
1. Einführung in ER-Diagramme
- Definition: Ein Entity-Relationship-Diagramm (ER-Diagramm) bildet die strukturellen Beziehungen zwischen den Daten in einer Datenbank ab. Es hilft beim Design und der Visualisierung von Datenbankstrukturen.
- Bestandteile: Entitäten (Datenobjekte), Beziehungen (Verbindungen zwischen Entitäten), Attribute (Eigenschaften von Entitäten).
2. Entitäten und Attribute
- Entitäten: Repräsentieren Objekte oder Konzepte mit Datenwert, z.B. “Student” oder “Kurs”.
- Attribute: Charakteristika oder Eigenschaften einer Entität, z.B. Name, Alter eines Studenten. Primärschlüssel (einzigartiges Identifikationsmerkmal) sind hervorgehoben.
3. Beziehungen und Kardinalitäten
- Beziehungstypen:
- Eins-zu-eins (1:1): Jede Entität A ist mit höchstens einer Entität B verbunden und umgekehrt.
- Eins-zu-viele (1:n): Eine Entität aus A kann mit mehreren Entitäten aus B verbunden sein, aber eine Entität aus B ist nur mit einer Entität aus A verbunden.
- Viele-zu-viele (n:m): Entitäten aus A können mit mehreren Entitäten aus B verbunden sein und umgekehrt.
4. Referenzielle Integrität und Schlüsselkonzepte
- Referenzielle Integrität: Sicherstellung, dass jede Fremdschlüsselbeziehung in der Datenbank eine entsprechende Primärschlüsseleintragung hat.
- Primärschlüssel: Einzigartiges Attribut, das jede Entität in einer Entitätsmenge identifiziert.
- Fremdschlüssel: Attribut, das in einer anderen Entität als Primärschlüssel dient, um Beziehungen zu verknüpfen.
5. Aktualisierungs- und Löschweitergabe
- Aktualisierungsweitergabe: Regeln, die definieren, was bei der Aktualisierung von Primärschlüsseln passiert.
- Löschweitergabe: Regeln, die bestimmen, wie mit den verknüpften Daten umgegangen wird, wenn eine Entität gelöscht wird.
Bildquelle - 06.04.24: https://www.herrmix.de/dokuwiki/lib/exe/fetch.php?media=datenbanken:relational:er-beispiel2.png
Erklärvideo: Youtube